




产品简介
上述处理之后的RNA中,除了lncRNA外,还包含全部的pre-mRNA, mRNA和部分circular RNA。测序采用Illumina测序平台进行测序,针对有参考基因组样本开展准确的lncRNA鉴定和lncRNA靶基因预测,同时提供针对测序数据中mRNA的表达分析和差异分析。
技术参数

分析流程

LncRNA分析流程
元莘优势
Illumina高质量测序平台、有效数据高覆盖度、高均一性
高水平生信团队,为您提供优质个性化服务
一对一售后服务,高效对接项目问题
分析示例

1. lncRNA分类

2. lncRNA与mRNA结构比较

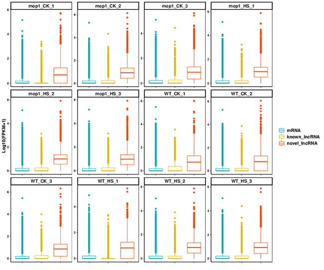
3. lncRNA与mRNA表达水平比较

4. lncRNA与mRNA差异基因表达模式聚类图

5. lncRNA与mRNA互作网络
邮 箱:marketing@origin-gene.com
电 话:400-8899-254
地 址:上海市闵行区谈家塘路155号A1座2层
邮 编:200241
Copyright © 2022 版权所有:上海元莘生物医药科技有限公司 苏ICP备2025166411号-1 苏ICP备2025166411号-2