




产品介绍
微生物泛基因组(Pan-genome) 即某一物种种内全部基因的总称。泛基因组有多个研究方向包括检验材料的代表性、区分核心基因组和非核心基因组、遗传变异研究、多组学结合等,能够从多方位解释物种的特征,挖掘更多物种的信息。泛基因组分析可以全面地对物种种内遗传多样性进行研究,探究不同个体间的进化关系。
技术参数
.jpg)
备注:具体测序深度还需参考研究目的、基因组复杂度和测序技术方法等信息。
技术流程

元莘优势
高质量基因组产出,泛基因组精准分析的基石
专业的分析团队,贴心的个性化服务
多种基因组构建方式选择
分析示例

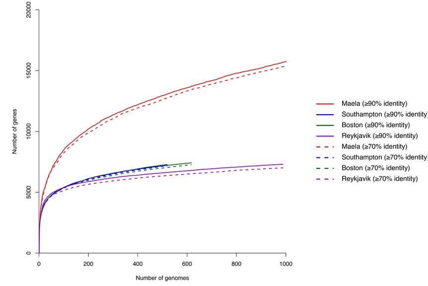
泛基因组检验

基因韦恩图

系统发育树

共线性分析
邮 箱:marketing@origin-gene.com
电 话:400-8899-254
地 址:上海市闵行区谈家塘路155号A1座2层
邮 编:200241
Copyright © 2022 版权所有:上海元莘生物医药科技有限公司 苏ICP备2025166411号-1 苏ICP备2025166411号-2