




产品介绍
全外显子组测序(whole exome sequencing ,WES)是利用探针杂交富集外显子区域的DNA序列,通过高通量测序技术进行外显子组测序,能够直接发现与蛋白质功能变异相关的遗传突变。目前,外显子组测序技术已经应用到寻找与各种复杂疾病相关的致病基因和易感基因的研究中,对找到疾病的有效预防和治疗策略有重要的意义。同时外显子测序也应用在癌症、正常人群和遗传性疾病的研究中。
技术参数

备注:具体测序深度还需参考研究目的、基因组复杂度和测序技术方法等信息。
分析流程
.jpg)
元莘优势
多个注释数据库助力有害突变鉴定、多种筛选方式避免遗漏有害突变
根据不同的研究目的,设计灵活准确的个性化分析方案
严格的数据质控标准,从源头保证数据质量的可靠性
分析示例

突变类型、频率等情况统计

肿瘤突变基因瀑布图

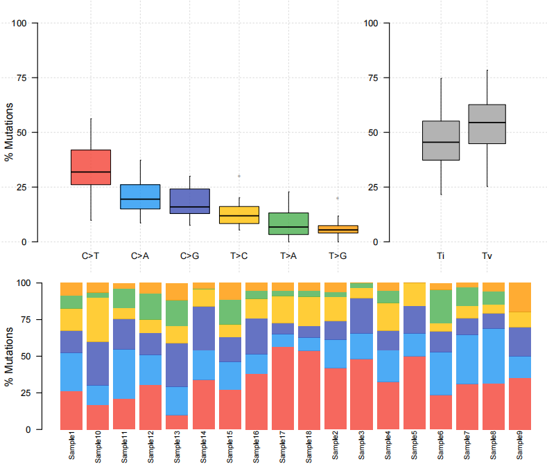
转换-颠换统计箱线图

相互关系图
邮 箱:marketing@origin-gene.com
电 话:400-8899-254
地 址:上海市闵行区谈家塘路155号A1座2层
邮 编:200241
Copyright © 2022 版权所有:上海元莘生物医药科技有限公司 苏ICP备2025166411号-1 苏ICP备2025166411号-2